# Lawlor human pancreas (SMARTer) ## Introduction This performs an analysis of the @lawlor2017singlecell dataset, consisting of human pancreas cells from various donors. ## Data loading ``` r library(scRNAseq) sce.lawlor <- LawlorPancreasData() ``` ``` r library(AnnotationHub) edb <- AnnotationHub()[["AH73881"]] anno <- select(edb, keys=rownames(sce.lawlor), keytype="GENEID", columns=c("SYMBOL", "SEQNAME")) rowData(sce.lawlor) <- anno[match(rownames(sce.lawlor), anno[,1]),-1] ``` ## Quality control ``` r unfiltered <- sce.lawlor ``` ``` r library(scater) stats <- perCellQCMetrics(sce.lawlor, subsets=list(Mito=which(rowData(sce.lawlor)$SEQNAME=="MT"))) qc <- quickPerCellQC(stats, percent_subsets="subsets_Mito_percent", batch=sce.lawlor$`islet unos id`) sce.lawlor <- sce.lawlor[,!qc$discard] ``` ``` r colData(unfiltered) <- cbind(colData(unfiltered), stats) unfiltered$discard <- qc$discard gridExtra::grid.arrange( plotColData(unfiltered, x="islet unos id", y="sum", colour_by="discard") + scale_y_log10() + ggtitle("Total count") + theme(axis.text.x = element_text(angle = 90)), plotColData(unfiltered, x="islet unos id", y="detected", colour_by="discard") + scale_y_log10() + ggtitle("Detected features") + theme(axis.text.x = element_text(angle = 90)), plotColData(unfiltered, x="islet unos id", y="subsets_Mito_percent", colour_by="discard") + ggtitle("Mito percent") + theme(axis.text.x = element_text(angle = 90)), ncol=2 ) ```
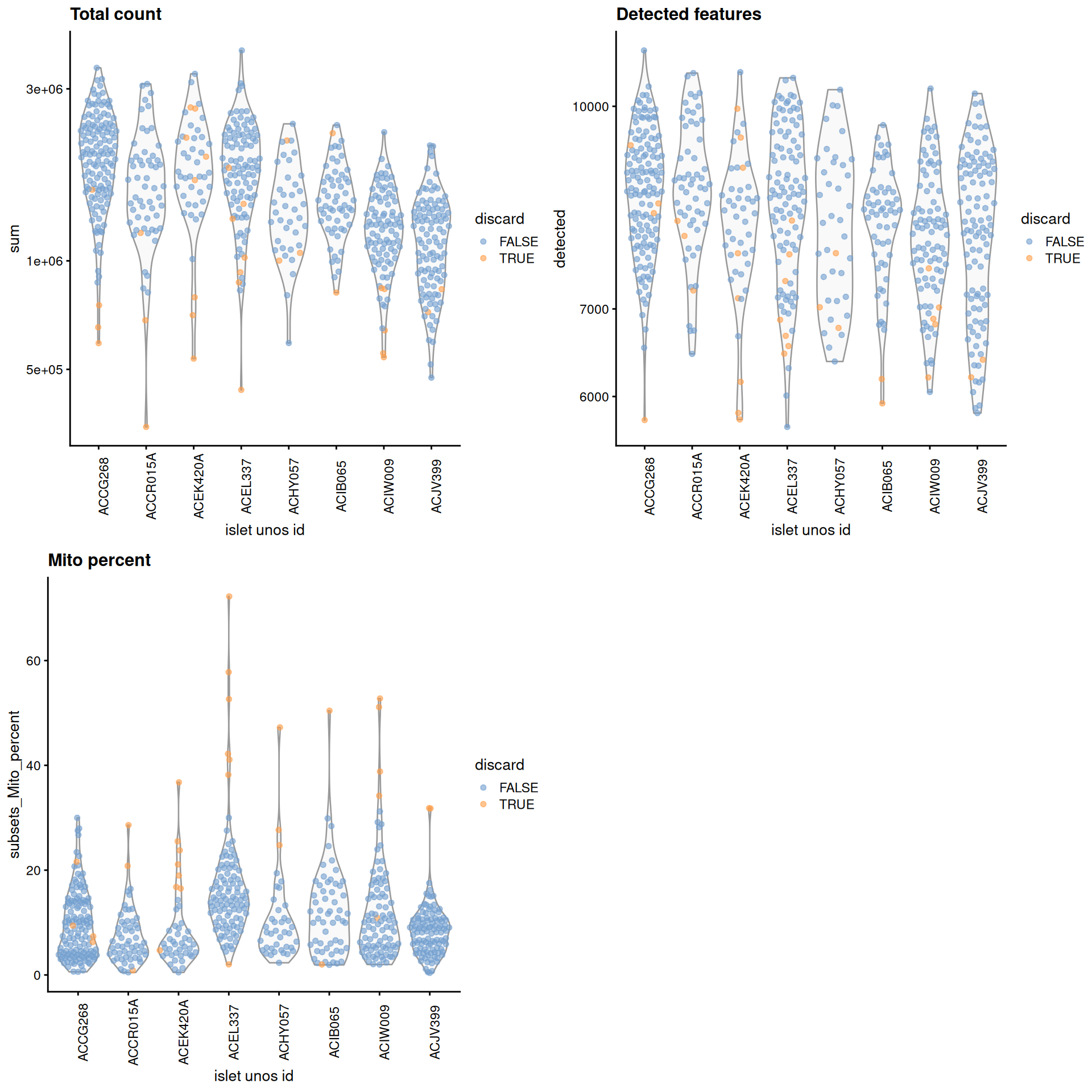
Distribution of each QC metric across cells from each donor of the Lawlor pancreas dataset. Each point represents a cell and is colored according to whether that cell was discarded.

(\#fig:unref-lawlor-qc-dist)Distribution of each QC metric across cells from each donor of the Lawlor pancreas dataset. Each point represents a cell and is colored according to whether that cell was discarded.

``` r plotColData(unfiltered, x="sum", y="subsets_Mito_percent", colour_by="discard") + scale_x_log10() ```
Percentage of mitochondrial reads in each cell in the 416B dataset compared to the total count. Each point represents a cell and is colored according to whether that cell was discarded.

(\#fig:unref-lawlor-qc-comp)Percentage of mitochondrial reads in each cell in the 416B dataset compared to the total count. Each point represents a cell and is colored according to whether that cell was discarded.

``` r colSums(as.matrix(qc)) ``` ``` ## low_lib_size low_n_features high_subsets_Mito_percent ## 9 5 25 ## discard ## 34 ``` ## Normalization ``` r library(scran) set.seed(1000) clusters <- quickCluster(sce.lawlor) sce.lawlor <- computeSumFactors(sce.lawlor, clusters=clusters) sce.lawlor <- logNormCounts(sce.lawlor) ``` ``` r summary(sizeFactors(sce.lawlor)) ``` ``` ## Min. 1st Qu. Median Mean 3rd Qu. Max. ## 0.295 0.781 0.963 1.000 1.182 2.629 ``` ``` r plot(librarySizeFactors(sce.lawlor), sizeFactors(sce.lawlor), pch=16, xlab="Library size factors", ylab="Deconvolution factors", log="xy") ```
Relationship between the library size factors and the deconvolution size factors in the Lawlor pancreas dataset.

(\#fig:unref-lawlor-norm)Relationship between the library size factors and the deconvolution size factors in the Lawlor pancreas dataset.

## Variance modelling Using age as a proxy for the donor. ``` r dec.lawlor <- modelGeneVar(sce.lawlor, block=sce.lawlor$`islet unos id`) chosen.genes <- getTopHVGs(dec.lawlor, n=2000) ``` ``` r par(mfrow=c(4,2)) blocked.stats <- dec.lawlor$per.block for (i in colnames(blocked.stats)) { current <- blocked.stats[[i]] plot(current$mean, current$total, main=i, pch=16, cex=0.5, xlab="Mean of log-expression", ylab="Variance of log-expression") curfit <- metadata(current) curve(curfit$trend(x), col='dodgerblue', add=TRUE, lwd=2) } ```
Per-gene variance as a function of the mean for the log-expression values in the Lawlor pancreas dataset. Each point represents a gene (black) with the mean-variance trend (blue) fitted separately for each donor.

(\#fig:unnamed-chunk-4)Per-gene variance as a function of the mean for the log-expression values in the Lawlor pancreas dataset. Each point represents a gene (black) with the mean-variance trend (blue) fitted separately for each donor.

## Dimensionality reduction ``` r library(BiocSingular) set.seed(101011001) sce.lawlor <- runPCA(sce.lawlor, subset_row=chosen.genes, ncomponents=25) sce.lawlor <- runTSNE(sce.lawlor, dimred="PCA") ``` ## Clustering ``` r snn.gr <- buildSNNGraph(sce.lawlor, use.dimred="PCA") colLabels(sce.lawlor) <- factor(igraph::cluster_walktrap(snn.gr)$membership) ``` ``` r table(colLabels(sce.lawlor), sce.lawlor$`cell type`) ``` ``` ## ## Acinar Alpha Beta Delta Ductal Gamma/PP None/Other Stellate ## 1 1 0 1 13 2 16 2 0 ## 2 0 0 75 1 0 0 0 0 ## 3 0 161 1 0 0 1 2 0 ## 4 0 1 0 1 0 0 5 19 ## 5 22 0 0 0 0 0 0 0 ## 6 0 0 174 4 1 0 1 0 ## 7 0 76 1 0 0 0 0 0 ## 8 0 0 0 1 20 0 2 0 ``` ``` r table(colLabels(sce.lawlor), sce.lawlor$`islet unos id`) ``` ``` ## ## ACCG268 ACCR015A ACEK420A ACEL337 ACHY057 ACIB065 ACIW009 ACJV399 ## 1 8 2 2 4 4 4 9 2 ## 2 13 3 2 33 3 2 4 16 ## 3 36 23 14 13 14 14 21 30 ## 4 7 1 0 1 0 4 9 4 ## 5 0 2 13 0 0 0 5 2 ## 6 34 10 4 39 7 23 24 39 ## 7 33 12 0 5 6 7 4 10 ## 8 1 1 2 1 2 1 12 3 ``` ``` r gridExtra::grid.arrange( plotTSNE(sce.lawlor, colour_by="label"), plotTSNE(sce.lawlor, colour_by="islet unos id"), ncol=2 ) ```
Obligatory $t$-SNE plots of the Lawlor pancreas dataset. Each point represents a cell that is colored by cluster (left) or batch (right).

(\#fig:unref-grun-tsne)Obligatory $t$-SNE plots of the Lawlor pancreas dataset. Each point represents a cell that is colored by cluster (left) or batch (right).

## Session Info {-}
``` R Under development (unstable) (2025-10-20 r88955) Platform: x86_64-pc-linux-gnu Running under: Ubuntu 24.04.3 LTS Matrix products: default BLAS: /home/biocbuild/bbs-3.23-bioc/R/lib/libRblas.so LAPACK: /usr/lib/x86_64-linux-gnu/lapack/liblapack.so.3.12.0 LAPACK version 3.12.0 locale: [1] LC_CTYPE=en_US.UTF-8 LC_NUMERIC=C [3] LC_TIME=en_GB LC_COLLATE=C [5] LC_MONETARY=en_US.UTF-8 LC_MESSAGES=en_US.UTF-8 [7] LC_PAPER=en_US.UTF-8 LC_NAME=C [9] LC_ADDRESS=C LC_TELEPHONE=C [11] LC_MEASUREMENT=en_US.UTF-8 LC_IDENTIFICATION=C time zone: America/New_York tzcode source: system (glibc) attached base packages: [1] stats4 stats graphics grDevices utils datasets methods [8] base other attached packages: [1] BiocSingular_1.27.0 scran_1.39.0 [3] scater_1.39.0 ggplot2_4.0.0 [5] scuttle_1.21.0 ensembldb_2.35.0 [7] AnnotationFilter_1.35.0 GenomicFeatures_1.63.1 [9] AnnotationDbi_1.73.0 AnnotationHub_4.1.0 [11] BiocFileCache_3.1.0 dbplyr_2.5.1 [13] scRNAseq_2.25.0 SingleCellExperiment_1.33.0 [15] SummarizedExperiment_1.41.0 Biobase_2.71.0 [17] GenomicRanges_1.63.0 Seqinfo_1.1.0 [19] IRanges_2.45.0 S4Vectors_0.49.0 [21] BiocGenerics_0.57.0 generics_0.1.4 [23] MatrixGenerics_1.23.0 matrixStats_1.5.0 [25] BiocStyle_2.39.0 rebook_1.21.0 loaded via a namespace (and not attached): [1] RColorBrewer_1.1-3 jsonlite_2.0.0 CodeDepends_0.6.6 [4] magrittr_2.0.4 ggbeeswarm_0.7.2 gypsum_1.7.0 [7] farver_2.1.2 rmarkdown_2.30 BiocIO_1.21.0 [10] vctrs_0.6.5 memoise_2.0.1 Rsamtools_2.27.0 [13] RCurl_1.98-1.17 htmltools_0.5.8.1 S4Arrays_1.11.0 [16] curl_7.0.0 BiocNeighbors_2.5.0 Rhdf5lib_1.33.0 [19] SparseArray_1.11.1 rhdf5_2.55.4 sass_0.4.10 [22] alabaster.base_1.11.1 bslib_0.9.0 alabaster.sce_1.11.0 [25] httr2_1.2.1 cachem_1.1.0 GenomicAlignments_1.47.0 [28] igraph_2.2.1 lifecycle_1.0.4 pkgconfig_2.0.3 [31] rsvd_1.0.5 Matrix_1.7-4 R6_2.6.1 [34] fastmap_1.2.0 digest_0.6.37 dqrng_0.4.1 [37] irlba_2.3.5.1 ExperimentHub_3.1.0 RSQLite_2.4.3 [40] beachmat_2.27.0 labeling_0.4.3 filelock_1.0.3 [43] httr_1.4.7 abind_1.4-8 compiler_4.6.0 [46] bit64_4.6.0-1 withr_3.0.2 S7_0.2.0 [49] BiocParallel_1.45.0 viridis_0.6.5 DBI_1.2.3 [52] HDF5Array_1.39.0 alabaster.ranges_1.11.0 alabaster.schemas_1.11.0 [55] rappdirs_0.3.3 DelayedArray_0.37.0 bluster_1.21.0 [58] rjson_0.2.23 tools_4.6.0 vipor_0.4.7 [61] beeswarm_0.4.0 glue_1.8.0 h5mread_1.3.0 [64] restfulr_0.0.16 rhdf5filters_1.23.0 grid_4.6.0 [67] Rtsne_0.17 cluster_2.1.8.1 gtable_0.3.6 [70] metapod_1.19.0 ScaledMatrix_1.19.0 XVector_0.51.0 [73] ggrepel_0.9.6 BiocVersion_3.23.1 pillar_1.11.1 [76] limma_3.67.0 dplyr_1.1.4 lattice_0.22-7 [79] rtracklayer_1.71.0 bit_4.6.0 tidyselect_1.2.1 [82] locfit_1.5-9.12 Biostrings_2.79.1 knitr_1.50 [85] gridExtra_2.3 bookdown_0.45 ProtGenerics_1.43.0 [88] edgeR_4.9.0 xfun_0.54 statmod_1.5.1 [91] UCSC.utils_1.7.0 lazyeval_0.2.2 yaml_2.3.10 [94] evaluate_1.0.5 codetools_0.2-20 cigarillo_1.1.0 [97] tibble_3.3.0 alabaster.matrix_1.11.0 BiocManager_1.30.26 [100] graph_1.89.0 cli_3.6.5 jquerylib_0.1.4 [103] dichromat_2.0-0.1 Rcpp_1.1.0 GenomeInfoDb_1.47.0 [106] dir.expiry_1.19.0 png_0.1-8 XML_3.99-0.19 [109] parallel_4.6.0 blob_1.2.4 bitops_1.0-9 [112] viridisLite_0.4.2 alabaster.se_1.11.0 scales_1.4.0 [115] purrr_1.2.0 crayon_1.5.3 rlang_1.1.6 [118] cowplot_1.2.0 KEGGREST_1.51.0 ```